Canine Index for Gender Dimorphism in a Subset of Karachi Population
OBJECTIVE: To evaluate the gender dimorphism by using mandibular canine index (MCI) in a Subset of Karachi Population.
STUDY DESIGN: Cross-sectional comparative study
PLACE AND DURATION OF STUDY: Department of Orthodontics, Ziauddin College of dentistry, Ziauddin university hospital, Clifton campus, Karachi from July 2016 to January 2017.
METHODOLOGY: A total of 456 subjects (253males and 203 females) ranging from age 15 -55 were included in this study. Mandibular study casts were prepared in dental stone and mesiodistal width of canines and intercanine distance were taken by using divider and steel scale. The standard mandibular canine index (SMCI) value was used to assess gender dimorphism. Mann Whitney U test was used to compare the mean value of MD right canine, MD left canine, & inter canine width and mandibular canine index with respect to gender. A p-value of < 0.05 was considered significant.
RESULTS: The mean value of mandibular right and left canine and intercanine distance in males was more than in females and showed statistically significant difference. Mann Whitney U test was applied to see the gender dimorphism in values of mean canine index (right and left side) and statistically significant difference was also found (P? 0.05).
CONCLUSION: The MCI can be used as an additional method for assessing gender identification for forensic purposes.
KEY WORDS: Canine Index, Gender Diamorphism, Karachi Population
HOW TO CITE: Gardezi S, Hassan N, Memon S. Canine index for gender dimorphism in a subset of karachi population. J Pak Dent Assoc 2018;27(3):120-23.
DOI: https://doi.org/10.25301/JPDA.273.120
Received: 12 February 2018, Accepted: 29 March 2018
INTRODUCTION
Human identification is the mainstay of civilization. It helps in identifying and classifying individuals into characteristic groups of age, gender and race. Identification of humans using the unique features of the teeth and jaws has been used since Roman times.1,1 Forensic dentistry has been the key for identification of victims of high speed accidents, social violence and disasters. It includes bite marks registration, radiographic analysis, photographs, DNA analysis, cheiloscopy and rugoscopy.3-5 Most of these methods have their own merits and limitations.
Gender assessment plays an important role in constructing a postmortem profile. The accuracy of gender determination using diverse parameters of the body such as craniofacial morphology and measurements on the pelvis ranges from 96% to 100%.6-8 Dental hard tissue being chemically stable tissue are preserved through fire and bacterial decomposition and therefore guides anthropological, genetic, odontologic and forensic investigators.3,9-11 Canine Index is a simple odontometric method which uses mandibular canines to find gender dimorphism. Canine index is defined as the ratio between mesiodistal diameter of mandibular canine and intercanine arch width. Males have larger crowns and more dentine than females.3,12-14 Garn and Nair in 1967 found that the mandibular canines exhibit the greatest gender dimorphism among all teeth.15 A study conducted in Saudi Arabia concluded that among all teeth only canine in both jaws exhibits gender dimorphism.16
Forensic odontology is an important tool of modern day investigation for identification of people in high speed accidents, social violence; airplane crashes where there no association between head and rest of the body along with act of crime which is unfortunately very common in our country. Thus, the present study was conducted to evaluate the gender dimorphism by using standard mandibular canine index (SMCI) in a Subset of Karachi Population. Unfortunately there is no data available in our country, therefore the present study is designed to validate the finding in our local population.
METHODOLOGY
A cross sectional study was conducted at Department of Orthodontics in Ziauddin College of Dentistry, Karachi from July 2016 to January 2017. Data were collected using convenience sampling technique. The inclusion criteria for sample selection were subjects with complete dentition and good oral hygiene, aged 15-55 years. The exclusion criteria was subjects with a prior or ongoing orthodontic treatment, denture wearer, developmental anomalies, caries, mechanical wear of enamel and crowding in the lower anterior segment. WHO sample size estimation calculator was used for evaluation of canine index in a sample of karachi (Pakistani) population.

A sample size of 456 gave the power of > 80%.
The study was conducted after approval from ethics review committee of Ziauddin University (# 00140416SGOBIO). After getting the informed consent form signed, mandibular impressions of the subjects were taken using impression material (alginate) in a perforated tray. After disinfecting the impression, high strength plaster was poured in the impression to obtain the cast (working model). Patient number was assigned after trimming the cast. Mandibular study casts were prepared in dental stone and measurements were taken by using divider and steel scale.(Fig 1) Canine width was taken as the greatest mesiodistal diameter of canine on either side of mandibular arch.(Fig 2) The inter-canine distance was measured as the linear distance between the cusp tip of right and left mandibular canine.(Figure 3) Mandibular Canine Index(MCI) was calculated by formula.17

The recorded data was compiled, recorded in a spreadsheet computer (Microsoft Excel 2007) then was exported to the data editor of SPSS version 20.0. Whitney U test was used to compare the mean value of MD right canine, MD left canine, & inter canine width and mandibular canine index with respect to gender. A p-value of < 0.05 was considered significant.
RESULTS
The study group consisted of 456 subjects (253 males and 203 females). After the violation of normality assumptions, instead of independent sample T test; Mann Whitney U test was used to compare the mean value of MD right canine, MD left canine, & inter canine width to see the gender dimorphism. The mean value of mandibular right and left canine and intercanine distance in males was more than females showed statistically significant differenceas depicted in Table 1.
Table 1: Gender dimorphism in right, left mandibular canine and inter canine width
Level of significance <0.05; SD: Standard Deviation
Whitney U test was applied to see the gender dimorphism in values of mean canine index (right and left side) and statistically significant difference was found as shown in table 2.
Table 2: Gender dimorphism in Mean Canine index
Level of significance <0.05; SD: Standard Deviation
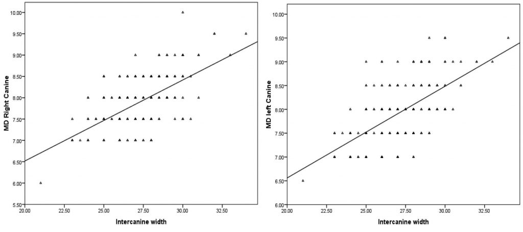
Graph 1: Graphical representation of correlation between Inter canine width and MD right Canine, MD left Canine in male.

Graph 2: Graphical representation of correlation between Inter canine width and MD right Canine, MD left Canine in female.

DISCUSSION
The different methods are employed as a reference and identification marker by orthodontists and forensic analysts such as Bite mark analysis, tooth prints, Rugoscopy, Cheiloscopy, Dental DNA analysis, Radiographs and Photographic study etc. Teeth help in forensic investigation to estimate age, determine sex and race of a person even in decomposed and burnt bodies. Review of literature revealed that the teeth provide excellent models for the study for forensic identification and gender dimorphism. The present study was carried out to establish the gender dimorphism in mandibular canines by using mesio-distal width of mandibular canine teeth and their respective intercanine distances in a group of karachi individuals (Pakistani) aged between 15-55 years.
The mean mesiodistal width of mandibular canine and intercanine width in males was larger as compared to females. These findings are in agreement with studies carried out by other researchers. The gender dimorphism is genetically controlled. Studies have shown that dimensions of canines shows maximum dimorphism because of the influence of the Y chromosome that controls the thickness of dentin and is not uniform in all teeth.3 This could be the reason of difference in the tooth size of males and female. Kaushal et al and Nair et al. in their study also reported that the difference of mean mesiodistal width of mandibular canine of both genders was found to be statistically more significant for left mandibular canine than right mandibular canine.18 The findings of the present study are in agreement with the above studies. This show that mesiodistal width of left mandibular canine can be used better to differentiate
male and female mandibular canines. The environmental factors and eating habits could be the main reasons for the difference gender dimorphism in mandibular canines.
In the present study, the right MCI and left MCI were greater in males as compared to females and the difference was statistically significant. Kaushal et al., Reddy et al., and Mughal et al. in their studies also reported similar results.18,19,20 Paramkusam Get al21 in their study calculated the mandibular CI on a sample of on 60 females and 60 males of Indian population in the age group of 20-30 years, found significant sexual dimorphism. Bashir T et al22 in the population of Ghailla village, Lucknow, Uttar Pradesh, India reported that the left canine exhibit greater gender dimorphism. In contrast, Muller et al. in their study concluded that gender determination is not possible using MCI when mandibular anterior teeth alignment is not correct thus gender determination is not possible using MCI.23
Our cross sectional study provides valuable information on the usefulness of canine index which can use an additional toll for determination of gender dimorphism other than its routine dental use. The results of the present study are comparable to the findings of other researchers which support our observation. No studies are available in our population on the applicability of canine index as an adjunct for establishing gender dimorphism; thus present study was designed to fill the gap in this aspect. Furthermore, it is recommended that further studies to be performed on larger sample of the population to confirm the applicability of canine index in our population.
CONCLUSION
The standard Mandibular Canine Index can be used as an additional method for determining gender identification. However, it cannot substitute other methods of determining gender like the morphometric criteria.
CONFLICT OF INTEREST
None declared.
REFERENCES
- Pretty I, Sweet D. forensic dentistry: A look at forensic dentistryPart 1: The role of teeth in the determination of human identity. Br dent J 2001;190:359-66. https://doi.org/10.1038/sj.bdj.4800972.
- Gupta B, Gupta M. Sex identification in forensic odontology-areview of various methodology. Int J Forensic Odontol 2016;1:9-13. https://doi.org/10.4103/2542-5013.185693
- Ayoub F, Shamseddine L, Rifai M, Cassia A, Diab R, Zaarour I, etal. Mandibular canine dimorphism in establishing sex identity in the Lebanese population. Int J Dent 2014;2014:235204. https://doi.org/10.1155/2014/235204
- Kumawat RM, Dindgire SL, Gadhari M, Khobragade PG, KadooPS, Yadav P. Mandibular canine: A tool for sex identification in forensic odontology. J forensic Dent sci 2017;9:109. https://doi.org/10.4103/jfo.jfds_41_16
- Gupta J, Daniel MJ. Crown size and arch width dimension as anindicator in gender determination for a Puducherry population. J forensic dent Sci 2016;8:120-5. https://doi.org/10.4103/0975-1475.195105
- Sreedhar G, Sumalatha MN, Ramesh G, Nagarajappa R, Murari A,Agrawal A. Dimorphic Mandibular canines in gender determination in Moradabad population of western Uttar Pradesh. J forensic dent Sci 2015;7:32-6. https://doi.org/10.4103/0975-1475.150302
- B Muhamedagic, N Sarajlic. Sex determination of the BosnianHerzegovinian population based on odontometric characteristics of permanent lower canines. Journal of Health Sciences. 2013;3:164-9. https://doi.org/10.17532/jhsci.2013.82
- El Sheikhi F, Bugaighis I. Sex discrimination by odontometrics inLibyan subjects. Egypt J Forensic Sci 2016;6:157-64. https://doi.org/10.1016/j.ejfs.2015.11.001
- Rajarathnam BN, David MP, Indira AP. Mandibular canine dimensions as an aid in gender estimation. J forensic dent Sci 2016;8:83-9. https://doi.org/10.4103/0975-1475.186364
- Gandhi N, Jain S, Kahlon H, Singh A, Gambhir RS, Gaur A. Significance of mandibular canine index in sexual dimorphism and aid in personal identification in forensic odontology. J forensic Dent Sci 2017;9:56-60. https://doi.org/10.4103/jfo.jfds_15_16
- Kiran CS, Ramaswamy P, Swathi E, Smitha B, Sudhakar S. Discriminant canine index-a novel approach in sex determination. Ann Stomatol(Roma) 2015;6:43-6. analysis. Braz J Oral Sci 2012;11:381-6.
- Sassi C, Picapedra A, Lima LNC, Francesquini Júnior L, Daruge E, Daruge Júnior E. Sex determination in Uruguayans by odontometric analysis. Braz J Oral Sci 2012;11:381-6.
- Latif M, Rashid W, Kaur B, Aggarwal A, Rashid A. Sex determination from mandibular canine index for the age group of 17- 40 years in North Indian population. Int J Sci 2016;4:143-6.
- Silva AM, Pereira ML, Gouveia S, Tavares JN, Azevedo , Caldas IM. A new approach to sex estimation using the mandibular canine index. Medicine, Science and the Law. 2016;56:7-12. https://doi.org/10.1177/0025802415575415.
- Kapila R, Nagesh K, Iyengar AR, Mehkri S. Sexual dimorphism in human mandibular canines: a radiomorphometric study in South Indian population. J den res dent clin dent prospects. 2011;5:51-4.
- Hashim H, Murshid Z. Mesiodistal tooth width. A comparison between Saudi males and females. Part 1. Egypt Dent J 1993;39:343-6.
- Rao NG, Rao NN, Pai ML, Kotian MS. Mandibular canine indexa clue for establishing sex identity. Forensic sci int 1989;42:249-54. https://doi.org/10.1016/0379-0738(89)90092-3.
- Kaushal S, Patnaik V, Agnihotri G. Mandibular canines in sex determination. J Anat Soc India. 2003;52:119-24.
- Reddy VM, Saxena S, Bansal P. Mandibular canine index as a sex determinant: A study on the population of western Uttar Pradesh. J Oral Maxillofac Pathol. 2008;12:56-9. https://doi.org/10.4103/0973-029X.44577
- Mughal I, Saqib A, Manzur F. Mandibular canine index (MCI); its role in determining gender. Professional Med J. 2010;17:459-63.
- Paramkusam G, Nadendla LK, Devulapalli RV1, Pokala A. Morphometric analysis of canine in gender determination: revisited in India. Indian J Dent Res. 2014;25:425-9. https://doi.org/10.4103/0970-9290.142514
- Bashir T, Kandakurti S, Gupta J, Sachdeva AS, Ahmad N, Krishnan V. Use of mandibular canine index as a tool in gender dimorphism: A phenotypic study. J Indian Acad Oral Med Radiol 2016;28:386-90. https://doi.org/10.4103/0972-1363.200633
- Muller M, Lupi-Pegurier L, Quatrehomme G, Bolla M. Odontometrical method useful in determining gender and dental alignment. Forensic sci int 2001;121:194-7. https://doi.org/10.1016/S0379-0738(01)00399-1
